射频电感器的选择涉及到这样一些关键参数:安装方式(表贴式或直插式)、电感值、电流额定值、直流电阻(DCR)、自谐频率(SRF)、品质因数和温度额定值。在应用中,电感器通常追求小尺寸,但给定应用中电感器的尺寸常常受到物理定律的限制。电感值和电流额定值是其尺寸的主要决定因素,之后可再对其他参数进行优化。
决定电感值的因素
若将电感器用作一个简单的单元件(第一级)高频扼流圈,则应根据需要扼制的峰值噪声频率进行选择。在电感器的自谐频率(SRF)下,串联阻抗将达到最大值。因此,要选择一个简单的射频扼流圈就应寻找一个SRF接近所需扼流频率的电感器。
对于高阶滤波器,每个元件的电感值必须根据滤波器的截止频率(低通和高通滤波器)或带宽(通滤波器)计算。进行这些计算时通常会用到商用电路模拟软件,如SPICE、AWR的MicrowaveOffice和Agilent的Genesys或ADS。
对于调谐电路或阻抗匹配,严格的电感公差是必需的。如表1所示,与层叠式或厚膜型电感器相比,绕线式电感器通常能够达到更严格的公差。

电流要求决定直流电阻
电流额定值和DCR密切相关。在多数情况下,如果所有其他参数保持均等,则需要选取较大尺寸的产品来降低DCR。
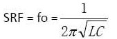
能让电感器工作的自谐频率
SRF的计算公式为:

在扼流圈的应用中,SRF能够最有效地阻断信号的频率。在低于SRF的频率下,阻抗随频率增大而增大。在SRF下,阻抗达到最大值。在高于SRF的频率下,阻抗随频率减小而减小。
对于高阶滤波器或阻抗匹配应用,在接近要求的频率时,拥有一条较为平缓的电感曲线(恒定电感与频率的曲线)更为重要。这就要求选择一个SRF远远高于设计频率的电感器。根据以往经验,可选择一个SRF比工作频率高10倍(10×)的电感器。一般而言,电感值的选择通常决定了SRF,反之亦然。由于绕线电容增加,电感值越高,SRF就会越低。
电感和阻抗与频率的关系
如图1所示,电感和阻抗在接近电感器的自谐频率(SRF)时急剧上升。对于扼流圈的应用,需选择一个SRF等于或接近衰减频率的电感器。对于其他应用,SRF应至少比工作频率高10倍。
Q值何时比较重要?
高Q值产生窄带宽,这一点对于将电感器用于LC(振荡)回路或窄带通的应用来说非常重要。请参考图2。高Q值还会产生低插入损耗,从而使功率损耗降到最低。
电感器Q值的计算公式为:

所有与频率相关的实和虚的损耗都包含在Q的计算中,包括电感、电容、导体的集肤效应和磁性材料的铁芯损耗。如表1所示,与相同尺寸和电感值的层叠式电感器相比,绕线式电感器的Q值要高得多。

图1:一个100nH绕线式电感器的电感值和阻抗

图2:高Q产生窄带宽和
如何选择温度额定值
功率损耗随电流和直流电阻的增大而增大,导致元件温度升高。电感器通常额定于某个特定的环境温度和因电流通过电感器所产生的高于环境温度的温升。例如,一个元件额定于125℃的环境温度和因满载额定电流(Irms或Idc)所产生的15℃的温升,它的最大温度约为140℃。您只需确认您的应用环境温度和电流损耗不超出电感器的额定值即可。
任何电子设备中的电子元器件安装板,都是经过工程技术人员根据使用的各种元器件的性能特点,精心安排、全面布局、合理设计出来的。作为线圈的使用安装者,需要注意以下问题:...
电感做为一种电路中常用的电子元器件,应用于各种电子产品,应用范围非常广泛。在电感元器件中有一个种类,就是叫线圈。线圈一般指的是不带磁芯的电感器,如空心线圈,偏转线...
只要是搞电的人都知道,电容上通电时电流比电压要超前90,而电感上通电时电压比电流超前90。对于电感电流的相位关系如下图,电容的也就类似了。 我们都知道电感和电容永远都互...
任何电子设备中的电子元器件安装板,都是经过工程技术人员根据使用的各种元器件的性能特点,精心安排、全面布局、合理设计出来的。作为线圈的使用安装者,需要注意以下问题:...
电感做为一种电路中常用的电子元器件,应用于各种电子产品,应用范围非常广泛。在电感元器件中有一个种类,就是叫线圈。线圈一般指的是不带磁芯的电感器,如空心线圈,偏转线...
只要是搞电的人都知道,电容上通电时电流比电压要超前90,而电感上通电时电压比电流超前90。对于电感电流的相位关系如下图,电容的也就类似了。 我们都知道电感和电容永远都互...